Phần này sẽ phân tích từng yếu tố dựa trên quan điểm của thống kê và chọn model. Phần này cũng sẽ chọn 1 sector ra đánh giá mức hiệu quả (materials).
Tóm tắt:
![[TECHNICAL INSIGHTS] - THỊ TRƯỜNG VIỆT NAM LÀ HIỆU QUẢ DẠNG GÌ? (PHẦN 3) 1 [TECHNICAL INSIGHTS] - THỊ TRƯỜNG VIỆT NAM LÀ HIỆU QUẢ DẠNG GÌ? (PHẦN 3)](https://substackcdn.com/image/fetch/$s_!Lds-!,w_1456,c_limit,f_auto,q_auto:good,fl_progressive:steep/https%3A%2F%2Fsubstack-post-media.s3.amazonaws.com%2Fpublic%2Fimages%2F5edc955d-3971-4a2c-a9a3-bb968a60cd47_1489x1490.png)
Đây là kết quả forecast cho 1 sector là materials, có thể thấy chỉ có 1 trường hợp duy nhất vào giữa 2022 (Q2) cho thì giá có nằm ngoài phạm vi forecast của chúng ta. Nếu dựa trên việc bác bỏ (như Karl Popper), rõ ràng có thời điểm thị trường không hiệu quả (cụ thể vào 2022-Q2) nhưng để nói là có hiệu quả ở mức nào thì cần thêm kiểm chứng (ở các khung thời gian thấp hơn).
MỞ ĐẦU
Tưởng tượng rằng là một buổi sáng mình tỉnh dậy và có thể hỏi được 1 số yếu tố như:
- Xác suất cổ phiếu A tăng BN%, mức độ như thế nào?
- Xác suất để thị trường ngày hôm nay tiếp tục tăng như hôm qua?
- …
Đây là những câu hỏi mang tính chất khái quát khá cao mà gần đây 1 số đơn vị đang dựa vào đó để quảng cáo như 1 công ty F*** nào đó cứ chạy panel trên các trang mạng xã hội là tiên đoán xác suất bằng AI hay đại loại vậy. Thật sự, những cái đó không phải là forecast mà chỉ là thống kê mô tả, tức là nhìn vào quá khứ để quan sát tần suất của biến động rồi dựa vào đó ước lượng. Nếu vậy, phân phối xác suất ước lượng sau đó đã bị ảnh hưởng bởi yếu tố “biết được” này, nhà toán học vĩ đại Thomas Bayes đã từ đó sinh ra khái niệm xác suất có điều kiện, là thứ mà mình sẽ cố gắng đi sâu vào phần này.
Khái niệm này thực ra có rất nhiều ứng dụng, 1 trong những ứng dụng đó là cho NLP (natural language processing), xa hơn thì trong 1 số model LLM sau này như transformer,GPT,…. Tuy nhiên, mình cho rằng việc dánh đồng việc xử lý NLP của LLMs hoặc SLMs nó khác với việc sử dụng Bayesian đúng cách. Đơn giản là do mục tiêu của 2 cái nó mạnh khác nhau, 1 cái sử dụng thống kê Bayesian để tìm ra ngôn ngữ tự nhiên theo đúng patterns (patterns này khác patterns về tài chính) mà người dùng train nó nhất (và thực sự nếu nhìn vào bộ data train ChatGPT nó thực sự nhiều hơn rất nhiều so với tài chính nên mục tiêu cụ thể như forecast hoặc phân tích, hiện giờ ChatGPT chỉ ở mức độ gọi là “bề mặt”, có chiều rộng, thiếu chiều sâu).
Nếu giả định rằng thị trường có tồn tại mức độ hiệu quả, tức là mọi thông tin trong thị trường phải phản ánh các yếu tố đó vào giá, vậy thì model phải có tính chất phổ quát, tức là gần như các thông tin của giá trong quá khứ và kể cả các thông tin như BCTC đều có thể biểu diễn hoặc tính toán từ model!
Để ước lượng chính xác hơn, các model của mình phải có khả năng học hết (hoặc nhiều nhất có thể) các thông tin trong quá khứ để forecast giá hoặc vùng giá cho 1 step sắp tới. Model sẽ sử dụng lần này là Bayesian.
Rất thú vị là model này có nguồn gốc từ vật lý và được sử dụng khá nhiều trong việc tính xác suất của tên lửa, cụ thể là xác suất của tên lửa bị phóng hỏng (có khi nào mấy ông quant đời đầu hay bị bốc từ đây =]]).
SỰ PHIẾN DIỆN CỦA CÁC PHƯƠNG PHÁP TRUYỀN THỐNG
Bằng các phương pháp định giá truyền thống thì rất khó để có 1 cách khách quan khi xem xét mối quan hệ giữa các biến với nhau. Nó có 1 số lý do sau đây:
- Nếu như lấy peer ratios để so sánh, chẳng hạn so sánh 1 chỉ tiêu như EBITDA margin giữa các mã CP trong ngành hoặc chính EBITDA margin của CP đó qua thời gian thì mình sẽ bị bias bởi 1 con số cụ thể (có thể là mean hoặc median), cái này có thể gọi là bias về ước lượng điểm, là nhược điểm chí tử của frequentists.
- Nếu có 1 hệ số Beta để thể hiện mối quan hệ giữa biến giải thích và biến phụ thuộc, Beta này sẽ là 1 ước lượng điểm (thường là MLE (maximum likelihood estimation) trong 1 số mô hình hồi quy như AR). Nhưng thực tế, Beta cũng có 1 phân phối của chính nó (chẳng hạn Beta cũng có mức độ biến động xung quanh 1 giá trị MLE nào đó chẳng hạn), kết quả ước lượng cuối cùng sẽ có sự biến động đáng kể.
- Các model excel truyền thống, kể cả econometrics truyền thống vẫn bỏ sót 1 yếu tố lớn, đó là phân phối tiên nghiệm (prior). Do đó, nó đã thiếu khách quan ngay từ cách ước lượng thống kê.Phân phối tiên nghiệm này là gì? Nó là 1 khái niệm trừu tượng về thống kê, có nghĩa là có tồn tại 1 phân phối xác suất ban đầu cho các dữ liệu thống kê mà được sử dụng trong mô hình và phân phối này được gọi là prior (hay cứ hiểu đơn giản nó là thủy tổ chẳng hạn). Vậy, kết quả thống kê phải xét tới yếu tố prior này hoặc có ước lượng prior này để có yếu tố tổng quát. Phân phối xác suất của các ước lượng khi biết điều kiện prior này gọi là phân phối xác suất hậu nghiệm (posterior probability).
Tuy nhiên, excel vẫn có giá trị của nó, đặc biệt là trong giải thích các vấn đề. Một financial model của excel tốt sẽ giúp người dùng dễ giải thích các lý do (ở góc độ bottom-up) từ tình hình tài chính của DN. Excel vẫn có cách để khái quát hóa các trường hợp forecast bằng cách chọn ra vài cái key drivers rồi chạy độ nhạy, có hình dạng giống như cái bảng này (ví dụ).
![[TECHNICAL INSIGHTS] - THỊ TRƯỜNG VIỆT NAM LÀ HIỆU QUẢ DẠNG GÌ? (PHẦN 3) 2 [TECHNICAL INSIGHTS] - THỊ TRƯỜNG VIỆT NAM LÀ HIỆU QUẢ DẠNG GÌ? (PHẦN 3)](https://substackcdn.com/image/fetch/$s_!pTTY!,w_1456,c_limit,f_auto,q_auto:good,fl_progressive:steep/https%3A%2F%2Fsubstack-post-media.s3.amazonaws.com%2Fpublic%2Fimages%2Fcf334611-3ebb-4515-be79-1316ba486f7f_2703x324.png)
Đây là mô phỏng 2 chiều, dựa vào đây thì có thể phân tích “sơ sơ” về rủi ro hoặc kỳ vọng của giá vào 1 số yếu tố quan trọng. Và thường cái này dùng để đem đi thương lượng nhiều hơn là forecast, do đó có 1 khoảng gap rất lớn giữa định giá và giá trị thị trường.
Nếu có nhiều hơn 2 drivers, việc định giá chỉ cho ra 1 giá trị cụ thể, mối quan hệ giữa các yếu tố quá khứ theo 1 cách tổng quát sẽ không thể nào mô tả được. Chẳng hạn, nếu EBITDA margin của 1 công ty ABC có khoảng biến động từ 20 – 50%, công ty ABC có mối quan hệ mua bán nguyên vật liệu với công ty XYZ, XYZ có EBITDA margin chỉ 20 – 25%, rõ ràng EBITDA margin của XYZ có mối quan hệ với ABC (vì là giá thành NVL trước khi bán cho ABC). Nếu chạy excel của 2 model của XYZ và ABC thì làm sao có thể đánh giá được mức độ ảnh hưởng của EBITDA margin của 2 ông này?
Thống kê Bayesian sẽ giải quyết được cái này, chẳng hạn hình sau:
![[TECHNICAL INSIGHTS] - THỊ TRƯỜNG VIỆT NAM LÀ HIỆU QUẢ DẠNG GÌ? (PHẦN 3) 3 [TECHNICAL INSIGHTS] - THỊ TRƯỜNG VIỆT NAM LÀ HIỆU QUẢ DẠNG GÌ? (PHẦN 3)](https://substackcdn.com/image/fetch/$s_!ZpMa!,w_1456,c_limit,f_auto,q_auto:good,fl_progressive:steep/https%3A%2F%2Fsubstack-post-media.s3.amazonaws.com%2Fpublic%2Fimages%2F67fb1788-003d-45ce-84c5-353cf538c4d6_945x573.png)
Đây là phân phối của các hệ số hồi quy (betas) cho từng biến trong mô hình BVAR mà mình dự kiến chạy, HDI là khoảng tin cậy 94%. Khác biệt chính ở chỗ nó có tồn tại các phân phối của các hệ số hồi quy này (thay vì ước lượng điểm MLE) và các tổ hợp các hệ số hồi quy khác nhau sẽ cho ra các giá trị dự báo khác nhau. Những dự báo này có thể hình thành 1 phân phối và từ đó mới có thể rút ra kết luận theo dạng xác suất.
Lúc này thì cần quan sát 1 cách tổng quát hơn, và may thay là các nhà khoa học có 1 công cụ phân tích thông tin là Mutual Information.
MUTUAL INFORMATION ANALYSIS
Để đánh giá và chọn lọc các biến để ước lượng 1 cách khoa học, mình cần 1 phương pháp thống kê và ở đây mình sử dụng multual information.
Multual information là gì?
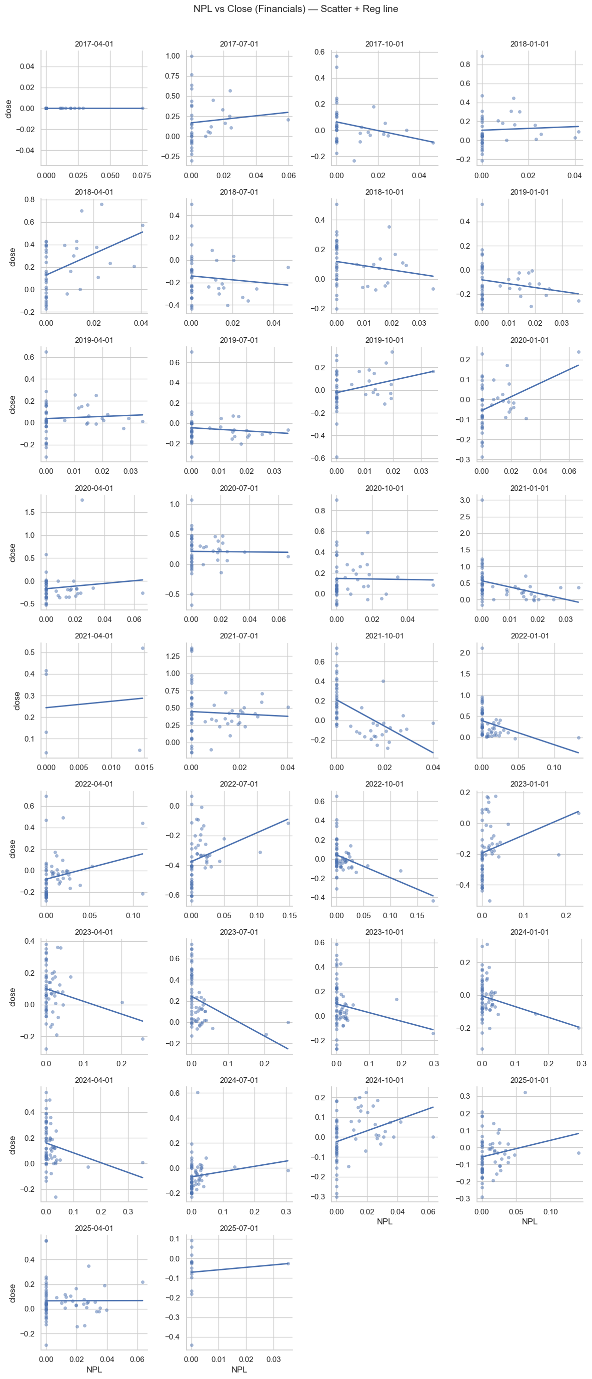
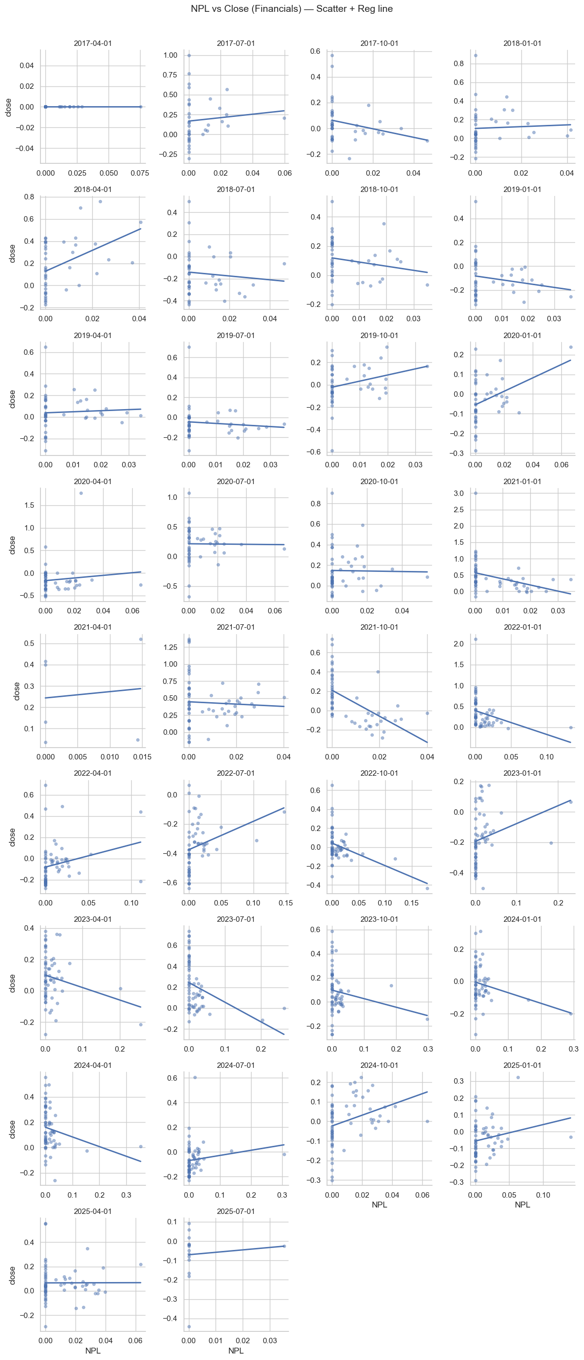
Mutual Information có thể coi như 1 phép đo độ bất định (entropy) trong thông tin giữa 2 nội dung khác nhau, MI càng lớn thì mối liên quan có thể càng lớn và MI đo lường được cả những mối quan hệ có dạng phi tuyến. Chẳng hạn khi quan sát %NPL và biến động giá CP 1 quý sau đó như sau:
![[TECHNICAL INSIGHTS] - THỊ TRƯỜNG VIỆT NAM LÀ HIỆU QUẢ DẠNG GÌ? (PHẦN 3) 4 [TECHNICAL INSIGHTS] - THỊ TRƯỜNG VIỆT NAM LÀ HIỆU QUẢ DẠNG GÌ? (PHẦN 3)](https://substackcdn.com/image/fetch/$s_!X6yE!,w_1456,c_limit,f_auto,q_auto:good,fl_progressive:steep/https%3A%2F%2Fsubstack-post-media.s3.amazonaws.com%2Fpublic%2Fimages%2F9cf9be52-db7f-459e-ac78-d394e6593528_1184x2756.png)
Có 1 số khoảng thời gian, rõ ràng có tồn tại mối quan hệ giữa NPL so với giá CP 1 quý sau đó, tuy nhiên thì nó không hoàn toàn cho tất cả các quý. Vậy để nhìn rõ ràng hơn, mình sẽ đo lường MI cho các sectors lẫn nhau và các biến cơ bản đã phân tích sơ trong các bài trước để lọc 1 số biến có tính chất phù hợp trước khi đưa vào model để phân tích sâu hơn.
Chi tiết về MI công thức như thế nào thì các bạn có thể search GG để rõ hơn để có cái nhìn toàn diện hơn, mình tránh đưa vào bài này vì nó tương đối dài.
So sánh MI giữa các sectors với nhau
Hình dưới đây là phiên bản tương tự nhưng tóm gọn của bảng trên khi phân tích chéo giữa các sectors với lợi nhuận (CP) của toàn thị trường, bằng cách lấy lợi nhuận của quý này của 1 sector cụ thể để đánh giá mức độ ảnh hướng đến lợi nhuận quý sau của toàn thị trường để xem mức độ ảnh hưởng cái nào lớn nhất.
![[TECHNICAL INSIGHTS] - THỊ TRƯỜNG VIỆT NAM LÀ HIỆU QUẢ DẠNG GÌ? (PHẦN 3) 5 [TECHNICAL INSIGHTS] - THỊ TRƯỜNG VIỆT NAM LÀ HIỆU QUẢ DẠNG GÌ? (PHẦN 3)](https://substackcdn.com/image/fetch/$s_!BfO0!,w_1456,c_limit,f_auto,q_auto:good,fl_progressive:steep/https%3A%2F%2Fsubstack-post-media.s3.amazonaws.com%2Fpublic%2Fimages%2Fc0fabdb1-bf86-4fde-a3af-59d4872eccf0_831x316.png)
![[TECHNICAL INSIGHTS] - THỊ TRƯỜNG VIỆT NAM LÀ HIỆU QUẢ DẠNG GÌ? (PHẦN 3) 6 [TECHNICAL INSIGHTS] - THỊ TRƯỜNG VIỆT NAM LÀ HIỆU QUẢ DẠNG GÌ? (PHẦN 3)](https://substackcdn.com/image/fetch/$s_!1cNd!,w_1456,c_limit,f_auto,q_auto:good,fl_progressive:steep/https%3A%2F%2Fsubstack-post-media.s3.amazonaws.com%2Fpublic%2Fimages%2F726d2873-4948-4b2d-be79-df83729708ad_1440x440.png)
Có thể thấy MI cho thấy mức độ ảnh hưởng của cụ thể 1 số nhóm ngành vượt trội vào 1 số thời điểm. Chẳng hạn như các nhóm:
- Energy: có xu hướng có predict mạnh tại các thời điểm thị trường bị extreme.
- IT: có mức độ ảnh hưởng tương đối đều đặn từ 2020 đến nay và có có thời điểm là sector có mức độ ảnh hưởng mạnh nhất mặc dù chỉ có 17 tickers! Cái này rất thú vị, vì phần lớn mọi người đều cho rằng nhóm bank và BĐS mới là nhóm giải thích nhiều nhất (vì có vốn hóa lớn), nhưng nếu lấy returns của 17 tickers IT của 1 quý này đo lường liên hệ cho 1 quý tới của returns cả thị trường thì nó đôi lúc nó có liên hệ tốt nhất (vậy có khi nào insight tại thời điểm đó là investors đang view chỉ như 1 sector outperform only?)!
Rõ ràng, có mỗi quan hệ lẫn nhau của các sectors cho 1 thời điểm tới cho cả thị trường —> 1 model có thể biểu diễn được mối quan hệ lẫn nhau của các sectors sẽ được prefered (để tránh mất mát thông tin).
Tuy nhiên có những thời điểm, các sectors không giải thích được nhiều cho cả thị trường, có khi nào do momentum của returns (CP) của cả thời điểm đó không? Tức là các thời điểm đó giá cả sẽ do giá lịch sử predict nó được (autoregressive) —> 1 model cũng cần có yếu tố autoregressive để có thể tiên lượng được dựa vào giá quá khứ.
2 yếu tố trên dẫn đến 1 model khả thi nhất để dùng ước lượng đó là VAR, model này mình sẽ phân tích ở mục sau, còn tiếp theo đây mình sẽ quan sát tiếp các yếu tố cơ bản để chọn ra các variables phù hợp.
So sánh MI của các sectors với các biến cơ bản
Bài trước mình có nói về HOLT của CS để đánh giá các factors theo quan điểm cơ bản, cụ thể hơn mình sẽ phân loại các chỉ số để đại diện cho các factors như sau:
- Momentum (các yếu tố thể hiện khả năng tiếp tục tăng trưởng và phát triển DN): các thước đo về tăng trưởng lợi nhuận như EBITDA growth, Sales growth, NPAT growths
- Valuation (lợi nhuận trên tổng vốn đầu tư, nghịch đảo của nó có thể coi như adjusted_EV/EBITDA): EBITDA_CE (EBITDA/Capital-Employed)
- Quality (mức độ chất lượng của tài sản theo cơ cấu tăng trưởng tài sản, tăng trưởng nợ): Liability_growth, equity_growth, asset_growth, %NPLs
Lưu ý: các thước đo này có thể có các yếu tố tiềm ẩn (latent factors), chẳng hạn như EBITDA/CE cũng sẽ đo lường cả quality hoặc asset growth cũng sẽ là momentum cho nhóm BĐS hoặc bank.
Tuy nhiên, khi đo lường ra (bằng MI) thì mới thấy được mức độ liên hệ giữa giá thị trường giữa các yếu tố này, cụ thể như sau:
Phương pháp đánh giá: mình rank mean values của MI và lấy 4 biến có mean values cao nhất
Industrials: LIABILITY_GROWTH, SALES_TTM_GROWTH, NPAT_TTM_GROWTH, EBITDA_CE
![[TECHNICAL INSIGHTS] - THỊ TRƯỜNG VIỆT NAM LÀ HIỆU QUẢ DẠNG GÌ? (PHẦN 3) 7 [TECHNICAL INSIGHTS] - THỊ TRƯỜNG VIỆT NAM LÀ HIỆU QUẢ DẠNG GÌ? (PHẦN 3)](https://substackcdn.com/image/fetch/$s_!fihS!,w_1456,c_limit,f_auto,q_auto:good,fl_progressive:steep/https%3A%2F%2Fsubstack-post-media.s3.amazonaws.com%2Fpublic%2Fimages%2Fb38cecac-4b8c-4294-a2e8-a6ecf2724636_1777x490.png)
Utilities: NPAT_GROWTH, EBITDA_CE, LIABILITY_GROWTH, ASSET_GROWTH
![[TECHNICAL INSIGHTS] - THỊ TRƯỜNG VIỆT NAM LÀ HIỆU QUẢ DẠNG GÌ? (PHẦN 3) 8 [TECHNICAL INSIGHTS] - THỊ TRƯỜNG VIỆT NAM LÀ HIỆU QUẢ DẠNG GÌ? (PHẦN 3)](https://substackcdn.com/image/fetch/$s_!5QTz!,w_1456,c_limit,f_auto,q_auto:good,fl_progressive:steep/https%3A%2F%2Fsubstack-post-media.s3.amazonaws.com%2Fpublic%2Fimages%2Fa715b537-e695-467e-8d1e-64185dbc88c1_1777x490.png)
Consumer-discretionary: ASSET_GROWTH, LIABILITY_GROWTH, EBITDA_CE, EBITDA_GROWTH
![[TECHNICAL INSIGHTS] - THỊ TRƯỜNG VIỆT NAM LÀ HIỆU QUẢ DẠNG GÌ? (PHẦN 3) 9 [TECHNICAL INSIGHTS] - THỊ TRƯỜNG VIỆT NAM LÀ HIỆU QUẢ DẠNG GÌ? (PHẦN 3)](https://substackcdn.com/image/fetch/$s_!0Tmp!,w_1456,c_limit,f_auto,q_auto:good,fl_progressive:steep/https%3A%2F%2Fsubstack-post-media.s3.amazonaws.com%2Fpublic%2Fimages%2F1d2d2b73-b3f1-49b7-a383-0249be9b1ef3_1808x490.png)
Consumer-staple: SALES_TTM_GROWTH, LIABILITY_GROWTH, ASSET_GROWTH, NPAT_GROWTH, EBITDA_CE
![[TECHNICAL INSIGHTS] - THỊ TRƯỜNG VIỆT NAM LÀ HIỆU QUẢ DẠNG GÌ? (PHẦN 3) 10 [TECHNICAL INSIGHTS] - THỊ TRƯỜNG VIỆT NAM LÀ HIỆU QUẢ DẠNG GÌ? (PHẦN 3)](https://substackcdn.com/image/fetch/$s_!IuR8!,w_1456,c_limit,f_auto,q_auto:good,fl_progressive:steep/https%3A%2F%2Fsubstack-post-media.s3.amazonaws.com%2Fpublic%2Fimages%2F7beee39d-48c0-44c2-b845-aeee7012c019_1785x490.png)
Materials: EBITDA_CE, EBITDA_GROWTH, SALES_TTM_GROWTH, LIABILITY_GROWTH, ASSET_GROWTH
![[TECHNICAL INSIGHTS] - THỊ TRƯỜNG VIỆT NAM LÀ HIỆU QUẢ DẠNG GÌ? (PHẦN 3) 11 [TECHNICAL INSIGHTS] - THỊ TRƯỜNG VIỆT NAM LÀ HIỆU QUẢ DẠNG GÌ? (PHẦN 3)](https://substackcdn.com/image/fetch/$s_!dUGw!,w_1456,c_limit,f_auto,q_auto:good,fl_progressive:steep/https%3A%2F%2Fsubstack-post-media.s3.amazonaws.com%2Fpublic%2Fimages%2Ffcd8641a-392b-45e7-b02e-b66630617734_1777x490.png)
Health-care: EBITDA_CE, LIABILITY_GROWTH, SALES_TTM_GROWTH, EBITDA_GROWTH
![[TECHNICAL INSIGHTS] - THỊ TRƯỜNG VIỆT NAM LÀ HIỆU QUẢ DẠNG GÌ? (PHẦN 3) 12 [TECHNICAL INSIGHTS] - THỊ TRƯỜNG VIỆT NAM LÀ HIỆU QUẢ DẠNG GÌ? (PHẦN 3)](https://substackcdn.com/image/fetch/$s_!pwFe!,w_1456,c_limit,f_auto,q_auto:good,fl_progressive:steep/https%3A%2F%2Fsubstack-post-media.s3.amazonaws.com%2Fpublic%2Fimages%2Fe24368bb-81cc-4613-b3fb-49ecd3d3aeec_1777x490.png)
Real-estate: EBITDA_CE, SALES_TTM_GROWTH, ASSET_GROWTH, EQUITY_GROWTH
![[TECHNICAL INSIGHTS] - THỊ TRƯỜNG VIỆT NAM LÀ HIỆU QUẢ DẠNG GÌ? (PHẦN 3) 13 [TECHNICAL INSIGHTS] - THỊ TRƯỜNG VIỆT NAM LÀ HIỆU QUẢ DẠNG GÌ? (PHẦN 3)](https://substackcdn.com/image/fetch/$s_!icQN!,w_1456,c_limit,f_auto,q_auto:good,fl_progressive:steep/https%3A%2F%2Fsubstack-post-media.s3.amazonaws.com%2Fpublic%2Fimages%2Fdee233d7-ac88-47ae-a667-d365fc8cf414_1777x490.png)
Financials: EBITDA_CE, LIABILITY_GROWTH, ASSET_GROWTH, NPAT_GROWTH
![[TECHNICAL INSIGHTS] - THỊ TRƯỜNG VIỆT NAM LÀ HIỆU QUẢ DẠNG GÌ? (PHẦN 3) 14 [TECHNICAL INSIGHTS] - THỊ TRƯỜNG VIỆT NAM LÀ HIỆU QUẢ DẠNG GÌ? (PHẦN 3)](https://substackcdn.com/image/fetch/$s_!tGuw!,w_1456,c_limit,f_auto,q_auto:good,fl_progressive:steep/https%3A%2F%2Fsubstack-post-media.s3.amazonaws.com%2Fpublic%2Fimages%2F537491bc-ebb1-4d1c-888b-5093ae23b6d9_1785x490.png)
Energy: LIABILITY_GROWTH, ASSET_GROWTH, EBITDA_GROWTH, EBITDA_CE
![[TECHNICAL INSIGHTS] - THỊ TRƯỜNG VIỆT NAM LÀ HIỆU QUẢ DẠNG GÌ? (PHẦN 3) 15 [TECHNICAL INSIGHTS] - THỊ TRƯỜNG VIỆT NAM LÀ HIỆU QUẢ DẠNG GÌ? (PHẦN 3)](https://substackcdn.com/image/fetch/$s_!_9rz!,w_1456,c_limit,f_auto,q_auto:good,fl_progressive:steep/https%3A%2F%2Fsubstack-post-media.s3.amazonaws.com%2Fpublic%2Fimages%2F45c647e4-fa5b-4973-b10c-ae1654234827_1777x490.png)
Communication services: NPAT_GROWTH, SALE_GROWTH, EBITDA_CE, ASSET_GROWTH
![[TECHNICAL INSIGHTS] - THỊ TRƯỜNG VIỆT NAM LÀ HIỆU QUẢ DẠNG GÌ? (PHẦN 3) 16 [TECHNICAL INSIGHTS] - THỊ TRƯỜNG VIỆT NAM LÀ HIỆU QUẢ DẠNG GÌ? (PHẦN 3)](https://substackcdn.com/image/fetch/$s_!9w9E!,w_1456,c_limit,f_auto,q_auto:good,fl_progressive:steep/https%3A%2F%2Fsubstack-post-media.s3.amazonaws.com%2Fpublic%2Fimages%2F6f7dcb7b-5928-49fa-a7e6-c341aed426a6_1867x490.png)
IT: LIABILITY_GROWTH, EBITDA_GROWTH, ASSET_GROWTH, EQUITY_GROWTH
![[TECHNICAL INSIGHTS] - THỊ TRƯỜNG VIỆT NAM LÀ HIỆU QUẢ DẠNG GÌ? (PHẦN 3) 17 [TECHNICAL INSIGHTS] - THỊ TRƯỜNG VIỆT NAM LÀ HIỆU QUẢ DẠNG GÌ? (PHẦN 3)](https://substackcdn.com/image/fetch/$s_!zN3-!,w_1456,c_limit,f_auto,q_auto:good,fl_progressive:steep/https%3A%2F%2Fsubstack-post-media.s3.amazonaws.com%2Fpublic%2Fimages%2F218676f0-4a6f-4c62-a156-abfa180cf3eb_1856x490.png)
MÔ HÌNH VAR VÀ BVAR
Nếu như ARIMA là mô hình có 3 yếu tố AR (autoregressive), MA (moving average) và Intergration (tính dừng) thì mô hình VAR là 1 tổ hợp nhiều mô hình AR có tính động và giải thích lẫn nhau, biến thể của mô hình này có nhiều loại chẳng hạn như VARMA, VARIMAX,… Tuy nhiên, ở phạm vi này mình chỉ đang quan tâm đến VAR và BVAR (Bayesian VAR). Một mô hình VAR sẽ có dạng như sau:
![[TECHNICAL INSIGHTS] - THỊ TRƯỜNG VIỆT NAM LÀ HIỆU QUẢ DẠNG GÌ? (PHẦN 3) 18 [TECHNICAL INSIGHTS] - THỊ TRƯỜNG VIỆT NAM LÀ HIỆU QUẢ DẠNG GÌ? (PHẦN 3)](https://substackcdn.com/image/fetch/$s_!mrNd!,w_1456,c_limit,f_auto,q_auto:good,fl_progressive:steep/https%3A%2F%2Fsubstack-post-media.s3.amazonaws.com%2Fpublic%2Fimages%2Fbcce7e74-e115-4a91-b8c8-0ab840ffa43e_1438x190.png)
Ở đây là VAR(1) tức là các yếu tố AR có độ trễ là 1. Có thể thấy x được giải thích bằng cả các yếu tố trễ của nó và các yếu tố khác như y, z.
Mô hình này rất hay khi nó có thể học các thông tin trong quá khứ của các biến lân cận mà chúng ta đánh giá là có tác động đến nó (ở trường hợp cụ thể là các ratios) —> Vấn đề nhìn xung quanh ở bài trước được giải quyết.
Tuy nhiên, như đã nói ở đầu, bản thân các hệ số hồi quy (slopes hoặc betas) cũng có những phân phối của chính nó. Cần lưu ý là các ước lượng các slope này không phải tính trung bình như chúng ta thường nghĩ mà nó ước lượng bằng 1 phương pháp thống kê gọi là MLE (Maximum likelihood estimation). Ước lượng VAR thuần túy chúng ta thường hay học trong trường ĐH gọi là frequentist model.
Ở đây mình cần ở rộng VAR hơn là VAR thuần túy, hay nói cách khác mình phải ước lượng bằng Bayesian và model VAR có dùng Bayesian gọi là BVAR, để các hệ số này có thể chạy được trên các phân phối của nó —> các kết quả forecast là 1 tập hợp các kết quả từ các tổ hợp hệ số này.
BVAR sẽ rất quan trọng nếu model cần có tính giải thích, đặc biệt nếu bạn là 1 analyst hoặc economist, bạn sẽ cần phải giải thích các factors có mối ảnh hưởng như thế nào hơn là để cho 1 mô hình chạy mà không biết nó chạy cái gì (blackbox). Cũng không nên nhầm lẫn với AI agents (vốn đang rất phổ biến), là AI white-box model! Bản chất nó vẫn là 1 black-box model với ẩn sâu là các lớp các thuật toán phân loại (cụ thể hơn là tokenized) và Bayesian (không tin bạn cứ thử tìm hiểu sẽ thấy), và nó giải thích cho bạn bằng kết quả từ những thuật toán này và token nó được train. Do đó, kết quả của AI agent sẽ tốt nếu nó mang tính chất tóm tắt nhiều hơn là giải thích.
Dài dòng là vậy, model BVAR sẽ có hình dạng như chart này:
![[TECHNICAL INSIGHTS] - THỊ TRƯỜNG VIỆT NAM LÀ HIỆU QUẢ DẠNG GÌ? (PHẦN 3) 19 [TECHNICAL INSIGHTS] - THỊ TRƯỜNG VIỆT NAM LÀ HIỆU QUẢ DẠNG GÌ? (PHẦN 3)](https://substackcdn.com/image/fetch/$s_!_23J!,w_1456,c_limit,f_auto,q_auto:good,fl_progressive:steep/https%3A%2F%2Fsubstack-post-media.s3.amazonaws.com%2Fpublic%2Fimages%2F339106a9-9509-43b7-a5fe-d576186aee6d_1565x1246.png)
Chart trên có nghĩa là phân phối của các Betas mình đang sử dụng là để ước lượng là Normal (thường là normal) và phân phối của sigma (độ lệch chuẩn) của Beta là phân phối Exponential (phân phối hàm mũ để sigma luôn từ 0 trở lên), tương tự như vậy với intercepts. Cũng như phân tích hôm trước, nếu các biến giải thích có ý nghĩa thống kê và giải thích tốt thì noise phải là white noise —> phân phối của Y phải có dạng Normal với phân phối của sigma của Y cũng phải là theo Exoponential. Kết quả các phân phối của các hệ số này sẽ có hình dạng như này:
![[TECHNICAL INSIGHTS] - THỊ TRƯỜNG VIỆT NAM LÀ HIỆU QUẢ DẠNG GÌ? (PHẦN 3) 20 [TECHNICAL INSIGHTS] - THỊ TRƯỜNG VIỆT NAM LÀ HIỆU QUẢ DẠNG GÌ? (PHẦN 3)](https://substackcdn.com/image/fetch/$s_!CV9b!,w_1456,c_limit,f_auto,q_auto:good,fl_progressive:steep/https%3A%2F%2Fsubstack-post-media.s3.amazonaws.com%2Fpublic%2Fimages%2F26a4b54b-48ef-410b-b981-2c336ace5d18_1487x5540.png)
Mình đo lường cái này như thế nào? Mình đo lường bằng MCMC (Markov-chain Monte-Carlo) và với thuật toán là NUTs. Lan man 1 tí là xuất phát điểm của Monte-Carlo không phải ở sòng bài, nó xuất phát từ 1 dự án khá nổi tiếng là Manhattan, các nhà vật lý cần 1 phương pháp ước lượng cho những dữ liệu quan sát hữu hạn ít ỏi (và rất quý báu) và họ tạo ra khá nhiều các thuật toán (NUTs là 1 trong những thuật toán đó). Sau này, các nhà vật lý thất nghiệp dần và có thể 1 trong số đó đã đến Monte-Carlo để làm head of quant chẳng hạn (chém thôi nhé =]]). Cũng rất nhiều người không hiểu bản chất cứ đem cái này ra để nói chuyện để thôi miên kiến thức (thú vị là tuần rồi có 1 ông chém trên 1 diễn đàn mà mình vô tình biết ông ta là sale platform CFD), thực ra ứng dụng của nó ngoài phạm vi của vật lý rất nhiều và cụ thể sử dụng trong bài này chẳng hạn.
Cũng theo concept ở phần 1, nếu như mình fit model chạy rolling thì model phải có tính giải thích tốt các thông tin mình cho nó học trong quá khứ và forecast dựa trên những gì nó học. Lần này, khác biệt là nó forecast không phải 1 điểm giá trị duy nhất, thay vào đó nó forecast cả 1 tập hơn các điểm giá trị, cụ thể như hình này:
![[TECHNICAL INSIGHTS] - THỊ TRƯỜNG VIỆT NAM LÀ HIỆU QUẢ DẠNG GÌ? (PHẦN 3) 21 [TECHNICAL INSIGHTS] - THỊ TRƯỜNG VIỆT NAM LÀ HIỆU QUẢ DẠNG GÌ? (PHẦN 3)](https://substackcdn.com/image/fetch/$s_!PbOL!,w_1456,c_limit,f_auto,q_auto:good,fl_progressive:steep/https%3A%2F%2Fsubstack-post-media.s3.amazonaws.com%2Fpublic%2Fimages%2Fd78c668f-42df-4b95-8401-1b992aa40a24_1189x790.png)
Hình trên là forecast 1000 điểm giá trị của mỗi biến theo các tổ hợp các hệ số khác nhau của betas và intercepts. Phân phối của nó sẽ cho thấy xác suất của các điểm giá trị và nó trả lời cho câu hỏi đặt ra ở mở đầu là xác suất quý/kỳ sắp tới tăng là bao nhiêu % (Xác suất có điều kiện và dựa trên cơ sở thống kê chứ không phải là thống kê mô tả (descriptive statistic) như ông F*** nào đấy).
Vậy, nếu rolling forecast theo từng quý thì kết quả nó sẽ khác như thế nào nếu mỗi quý mình forecast 1000 điểm giá trị để xem 1000 khả năng có thể xảy ra dựa trên model của mình đã học? Cụ thể nó sẽ như sau:
![[TECHNICAL INSIGHTS] - THỊ TRƯỜNG VIỆT NAM LÀ HIỆU QUẢ DẠNG GÌ? (PHẦN 3) 22 [TECHNICAL INSIGHTS] - THỊ TRƯỜNG VIỆT NAM LÀ HIỆU QUẢ DẠNG GÌ? (PHẦN 3)](https://substackcdn.com/image/fetch/$s_!Lds-!,w_1456,c_limit,f_auto,q_auto:good,fl_progressive:steep/https%3A%2F%2Fsubstack-post-media.s3.amazonaws.com%2Fpublic%2Fimages%2F5edc955d-3971-4a2c-a9a3-bb968a60cd47_1489x1490.png)
Đây là kết quả forecast cho 1 sector là materials, có thể thấy chỉ có 1 trường hợp duy nhất vào giữa 2022 (Q2) cho thì giá có nằm ngoài phạm vi forecast của chúng ta. Nếu dựa trên việc bác bỏ (như Karl Popper), rõ ràng có thời điểm thị trường không hiệu quả (cụ thể vào 2022-Q2) nhưng để nói là có hiệu quả ở mức nào thì cần thêm kiểm chứng (ở các khung thời gian thấp hơn).
Bài hôm nay đã rất dài, hơn nữa là việc tính toán này khá tốn tài nguyên (so với con máy có card 4060 của mình) tất nhiên vẫn nhanh hơn làm model excel “vớ vỉn”, mình sẽ để tiếp phần kết luận và phân tích cho tất cả các sector khác qua phần sau. Bài này cũng hơi lan man một số chỗ và hi vọng sẽ được mọi người đón nhận!
Cảm ơn và trân trọng !
Khóa học Phân tích kỹ thuật – CMT Level 1
Khóa học được Green Chart thiết kế dành riêng cho các bạn thí sinh muốn học và ôn thi CMT cấp độ 1 tại Việt Nam. Nội dung chương trình học bao gồm 28 buổi học lý thuyết, luyện đề và thi thử. Học viên cũng được cung cấp miễn phí giáo trình, bộ câu hỏi và đề thi thử phục vụ cho quá trình ôn thi. Học lại miễn phí trọn đời khóa học.
Tham khảo thêm chi tiết về khóa học Tại đây.

