Tiếp nối phần 1, trong phần này chúng ta sẽ dựa vào các biến đã quan sát và tạo 1 dashboard để quan sát biến động để đánh giá ảnh hưởng tới VNINDEX.
Mục tiêu bài viết:
- Tìm hiểu sơ bộ về FFR (Done).
- Hiểu ngắn gọn cách tính xác suất của FED WATCH TOOLS và tạo được tool quan sát tương tự (Done).
- Hiểu được các mối quan hệ của các biến và các yếu tố (phần 2).
- Từ các quan hệ này, tìm các regimes theo ảnh hưởng của biến này tới thị trường tới các đối tượng như SP500, VNINDEX để có trade ideas (phần 3).
Kết luận phần 2
Thanks for reading! Subscribe for free to receive new posts and support my work.
Quan sát thêm biến động của các yếu tố khác với:
- Các chỉ số thị trường: SP500, FTSE, DAX, SING, JP225
- Các chỉ số đo lường biến động: VIX, VVIX, VNINDEX volatility, VNINDEX breadth
- Các chỉ số cơ bản của VNINDEX: PE, PB
- Biến động của FFR
- Biến động của các tài sản thay thế khác: vàng, dầu, BTC
Thì rút ra kết luận rằng các biến có ảnh hưởng đến VNINDEX sẽ gồm (thứ tự mạnh yếu từ trên xuống):
- SPX và biến động của SPX (lag, mean): khá quan trọng, với trọng số của xếp hạng hàng đầu.
- VVIX: thước đo biến động của biến động, xếp hạng 2.
- Biến động của giá dầu.
- Biến động thị trường của Singapore.
- Biến động của FFR thông qua log_distance.
- Biến động của thị trường Đức.
- Biến động quá khứ của VNINDEX và các yếu tố cơ bản.
- Biến động của vàng, BTC.
Ghi chú:
- Bài viết thuần túy về nhận định và phân tích cá nhân của mình dựa trên kiến thực hạn hẹp mà mình có, nên sẽ hơi chủ quan. Rất mong nhận được sự góp ý từ mọi người!
- Ngôn ngữ viết bài giống văn nói thông thường, ít học thuật đôi lúc lõm bõm tiếng anh, hi vọng mọi người thông cảm cái này.
- Dữ liệu sử dụng là được truy cập và tính toán từ thư viện vnstocks (http://vnstocks.com), yfinance.
- Không như 1 số nghiên cứu khoa học, mục tiêu ở đây là tìm các yếu tố ảnh hưởng để quan sát và dự báo, nên mình hạn chế tối đa các thể loại suy luận hoặc thuyết âm như VNINDEX bị tác động từ SPX vì Trump, vì chính sách thuế hoặc ‘liquidity move the market’ (=]]), blabla… Tại sao?
- Đơn giản mình không muốn bị 1 số bias trong suy luận tài chính, cụ thể ở đây là anchoring bias (mỏ neo thông tin theo kiến thức hữu hạn), confirmation bias (cố gắng tìm thông tin để khẳng định lập luận của mình, vô tình hoặc cố ý bỏ sót các thông tin có ảnh hưởng ngược lại).
- Thị trường luôn thay đổi, thông tin hiện tại mình có chỉ để giải thích 1 phần biến động và nhiều khi chỉ giải thích đứng từ 1 khía cạnh quan sát. Có nghĩa là nếu quan sát theo cách khác, có thể nó vẫn tiếp tục có ý nghĩa và vẫn có thể mining được.
- Mục tiêu ở đây cũng không phải là nghiên cứu, ở đây mình đi tìm alpha, tức là đi tìm trading strategies. Do đó, quan trọng chuyện signal testing hơn!
REGIMES
Phân tích và đánh giá ảnh hưởng
Ở phần 1, mình đã quan sát các biến về FFR (Fed Fund Rate), SP500 (SPX), giá vàng (GOLD), giá dầu (OIL) để xem mối quan hệ nhân quả với VNINDEX. Cũng tương tự như vậy, nhưng mở rộng thêm một số biến như:
- Chỉ số: FTSE (UK100), NK225 (của Nhật), Singapore_iShare (ETF mô phỏng chỉ số của Sing), DAX (của Đức), chỉ số VIX và VVIX để đo lường mức độ biến động của SP500 và biến động của biến động (VIX của VIX);
- Tài sản thay thế khác: Bitcoin (BTC).
Bên cạnh đó, để hạn chế vấn đề của việc chuỗi thời gian có thể không ổn định, mình cũng tính lại biến ‘distance’ ở phần 1 (hiện được tính bằng lấy Market_FFR trừ đi Current_FFR) bằng cách lấy hiệu số của logarit của 2 biến này. Nó cũng phản ánh đặc tính liên tục (continuous) của lãi suất, đem tất cả các biến đó để kiểm định mức độ ổn định của chuỗi thời gian (kiểm định ADF) mình có kết quả như sau:
![[TECHNICAL INSIGHTS] - FFR VÀ ẢNH HƯỞNG ĐẾN CÁC REGIMES (PHẦN 2) 27 [TECHNICAL INSIGHTS] - FFR VÀ ẢNH HƯỞNG ĐẾN CÁC REGIMES (PHẦN 2)](https://substackcdn.com/image/fetch/$s_!L4FJ!,w_1456,c_limit,f_auto,q_auto:good,fl_progressive:steep/https%3A%2F%2Fsubstack-post-media.s3.amazonaws.com%2Fpublic%2Fimages%2F4040d5d0-6842-4786-8bb8-25a01c6f0df9_750x475.png)
Có thể thấy kết quả kiểm định của các biến đều đạt mức độ ổn định tốt. Từ đó, mình đem các biến này để tính causality network với phép đo trung tâm là kiểm định nhân quả Granger, với thời gian xét đến là trong lợi nhuận phạm vi 20 ngày thì ra được kết quả như sau:
![[TECHNICAL INSIGHTS] - FFR VÀ ẢNH HƯỞNG ĐẾN CÁC REGIMES (PHẦN 2) 28 [TECHNICAL INSIGHTS] - FFR VÀ ẢNH HƯỞNG ĐẾN CÁC REGIMES (PHẦN 2)](https://substackcdn.com/image/fetch/$s_!iP9s!,w_1456,c_limit,f_auto,q_auto:good,fl_progressive:steep/https%3A%2F%2Fsubstack-post-media.s3.amazonaws.com%2Fpublic%2Fimages%2F12db6819-6c2c-44b2-b3fe-57ae6cf3e712_1420x1042.png)
Kết quả khá là chằng chịt (=.=), nhìn không rõ ràng lắm, cố gắng dùng kính lúp thì mình soi ra được 1 số kết quả như này:
- Tất cả chỉ số trừ JP225 đều có quan hệ tác động trực tiếp đến VNINDEX (rất thú vị đây, bình thường toàn nghe dân chúng bảo nhìn JP225 =]]). Các mối quan hệ đều là quan hệ 1 chiều với chiều tác động tới VNINDEX là chủ đạo.
- Biến duy nhất có quan hệ nhân quả là giá dầu (rất thú vị), có tác động đến VNINDEX và ngược lại.
- Các biến yếu tố như giá vàng hoặc biến động của FFR không có tác động trực tiếp, thay vào đó đều thông qua một biến trung gian nào đó, ví dụ với giá vàng thì thông qua giá dầu, với biến động của FFR thì thông qua (FTSE, SPX, SING và DAX).
- Và 1 điều thú vị nữa là BTC có tác động trực tiếp đến VNINDEX (keke).
Vậy dựa trên dữ liệu quá khứ với phạm vi quan sát lợi nhuận và độ trễ của lợi nhuận trong 20 ngày thì mình tìm ra được kết quả như trên. Nếu một cách thông thường thì mình sẽ quan sát chart của tất cả nhưng yếu tố trên để đánh giá ảnh hưởng vào VNINDEX để từ đó “đoán” biến động trong tương lai ngắn (ví dụ 20 ngày). Tuy nhiên, lúc này câu hỏi mới lại phát sinh, đó là làm sao biết cái nào là quan trọng nhất?
Kiểm định Granger chỉ giải thích rằng có tồn tại mối quan hệ nhân quả tuyến tính giữa các cặp biến nêu trên, tuy nhiên nó không nó rằng mức độ mạnh yếu của các biến tác động tới VNINDEX như thế nào.
Để giải quyết cái này, mình sẽ dùng 1 phép đo, đó là hồi quy “elastic net” (nghe nguy hiểm vãi =]]).
Trong bài Phân tích về ảnh hưởng các yếu tố cơ bản đến VNINDEX, mình đã có liệt kê một số phép đo như correlation và sử dụng 1 số phép đo hồi quy để hạn chế vấn đề đa cộng tuyến. Trường hợp này, sử dụng phép hồi quy này vừa loại bỏ mối lo đa cộng tuyến vừa có thể xác định được mức độ quan trọng (1 cách tuyến tính) đến đối tượng quan sát (VNINDEX).
Vậy, cái gọi là hồi quy “elastic net” là gì? Tại sao nó lại có tác dụng như vậy?
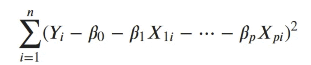
- Hồi quy tuyến tính (OLS) thông thường sẽ rất nhạy cảm với các giá trị ngoại lai (các giá trị nằm quá xa vùng quan sát sẽ kéo đường hồi quy đi chệch khỏi quỹ đạo hợp lý của nó) hoặc nhạy cảm với các biến có hiện tượng đa cộng tuyến. Điều này sẽ dẫn đến mục tiêu lớn nhất của mô hình OLS là phần dư không còn nhỏ nhất (không còn least square). Phần dư của mô hình được tính toán như này:
![[TECHNICAL INSIGHTS] - FFR VÀ ẢNH HƯỞNG ĐẾN CÁC REGIMES (PHẦN 2) 29 [TECHNICAL INSIGHTS] - FFR VÀ ẢNH HƯỞNG ĐẾN CÁC REGIMES (PHẦN 2)](https://greenchart.vn/wp-content/uploads/2025/11/image-1024x215.png)
Các nhà thống kê đã giải quyết vấn đề ở trên bằng một số phương pháp hồi quy, trong đó có Ridge, Lasso và Elastic Net, theo đó:
- Các phương pháp này đều có 1 cách thức chung là phạt, phạt là gì? Khi hồi quy sẽ có ra tham số của mô hình hồi quy (Beta hoặc hệ số góc) với thêm 1 thành phần phạt các Beta theo mức độ ảnh hưởng của nó (nôm na là thằng nào nói bậy, làm sai lệch nhiều thì phạt). Hàm sẽ có công thức dạng như thế nào:
![[TECHNICAL INSIGHTS] - FFR VÀ ẢNH HƯỞNG ĐẾN CÁC REGIMES (PHẦN 2) 30 [TECHNICAL INSIGHTS] - FFR VÀ ẢNH HƯỞNG ĐẾN CÁC REGIMES (PHẦN 2)](https://greenchart.vn/wp-content/uploads/2025/11/image-1-1024x183.png)
Ridge (L2): sẽ phạt bằng 1 hàm f(Beta) với hình dạng hàm như này:
![[TECHNICAL INSIGHTS] - FFR VÀ ẢNH HƯỞNG ĐẾN CÁC REGIMES (PHẦN 2) 31 [TECHNICAL INSIGHTS] - FFR VÀ ẢNH HƯỞNG ĐẾN CÁC REGIMES (PHẦN 2)](https://greenchart.vn/wp-content/uploads/2025/11/image-2.png)
-
- Tức là tổng của tất cả các bình phương của Beta (không cần quan tâm đến dấu của Beta). Tuy nhiên nếu có quá nhiều features, thì con số tổng này sẽ rất nhạy cảm (có thể quá lớn nếu Beta lớn hơn 1 hoặc quá bé nếu Beta nhỏ hơn.
- Phương trình phạt của Ridge sẽ gọi là L2.
- Ridge có 1 đặc điểm có thể gọi là “nhân từ”, đó là nó giữ lại mọi features, chỉ phạt nặng nhẹ tùy cái features.
- Lasso (L1): giải quyết vấn đề này triệt để hơn, thay vì bình phương Beta, Lasso sẽ lấy giá trị tuyệt đối của Beta như này:
![[TECHNICAL INSIGHTS] - FFR VÀ ẢNH HƯỞNG ĐẾN CÁC REGIMES (PHẦN 2) 32 [TECHNICAL INSIGHTS] - FFR VÀ ẢNH HƯỞNG ĐẾN CÁC REGIMES (PHẦN 2)](https://greenchart.vn/wp-content/uploads/2025/11/image-3.png)
-
- Cách này sẽ giảm thiểu sự nhạy cảm của Beta vì nó không bình phương Beta lên, do đó sẽ xử lý được dữ liệu nhiều chiều hơn.
- Lasso thì racist hơn, nó sẽ thẳng tay xóa các biến không có ý nghĩa vào model và do đó giảm được số features (hoặc số chiều).
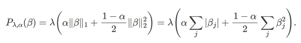
- Elastic Net: kết hợp cả 2 ông ở trên với tham số L1 và L2, qua đó chọn được các biến ở mức vừa phải nhưng vẫn đảm bảo tốt vai trò giải thích và hạn chế hiện tượng đa cộng tuyến. Việc kết hợp này có thể biểu diễn bằng phương trình tổng hợp sau:
![[TECHNICAL INSIGHTS] - FFR VÀ ẢNH HƯỞNG ĐẾN CÁC REGIMES (PHẦN 2) 33 [TECHNICAL INSIGHTS] - FFR VÀ ẢNH HƯỞNG ĐẾN CÁC REGIMES (PHẦN 2)](https://greenchart.vn/wp-content/uploads/2025/11/image-4-1024x149.png)
-
-
- Có thể thấy việc kết hợp cả 2 phương trình phạt Beta của Ridge và Lasso ở trong phương trình phạt ở trên.
-
Vậy, sử dụng Elastic Net và chế biến lại biến thêm 1 xíu, cụ thể:
- Mình sẽ thêm các biến về PE, PB để có thêm các yếu tố cơ bản, các biến này sẽ được ‘cook’ lại thêm độ lệch chuẩn, trung bình động và z-score tương tự bài phân tích các yếu tố cơ bản đến VNINDEX.
- Các biến ở trên cũng sẽ được cook theo cách này, ngoài ra mình cũng thêm 2 biến độ trễ của các biến này.
- Mình cũng sẽ dùng kiểm định ADF để kiểm tra tính ổn định các biến trước khi chạy hồi quy Elastic Net.
- Biến target sẽ là lợi nhuận 1 ngày của VNINDEX, khi chạy hồi quy mình sẽ dùng TimeseriesCV (đã có đề cập ở bài phân tích yếu tố cơ bản) để tìm ra hằng số phạt phù hợp để phạt vào phương trình và chọn ra các biến phù hợp.
- Tổng số biến sau chế biến là 83 biến (@@).
Cuối cùng thì mình có kết quả như sau:
![[TECHNICAL INSIGHTS] - FFR VÀ ẢNH HƯỞNG ĐẾN CÁC REGIMES (PHẦN 2) 34 [TECHNICAL INSIGHTS] - FFR VÀ ẢNH HƯỞNG ĐẾN CÁC REGIMES (PHẦN 2)](https://substackcdn.com/image/fetch/$s_!gPrI!,w_1456,c_limit,f_auto,q_auto:good,fl_progressive:steep/https%3A%2F%2Fsubstack-post-media.s3.amazonaws.com%2Fpublic%2Fimages%2F393d5499-6540-493d-af1b-ff4242ad04f4_648x1081.png)
Có thể thấy sau khi lọc lựa lại thêm 1 lần nữa các biến có ảnh hưởng đến VNINDEX sẽ gồm (thứ tự mạnh yếu từ trên xuống):
- SPX và biến động của SPX (lag, mean): khá quan trọng, với trọng số của xếp hạng hàng đầu.
- VVIX: thước đo biến động của biến động, xếp hạng 2.
- Biến động của giá dầu.
- Biến động thị trường của Singapore.
- Biến động của FFR thông qua log_distance.
- Biến động của thị trường Đức.
- Biến động quá khứ của VNINDEX và các yếu tố cơ bản.
- Biến động của vàng, BTC.
Vậy dựa vào các ảnh hưởng này, cùng với dấu của biến hồi quy, mình có thể tạo 1 dashboard từ các chỉ số này để có cái nhìn tổng thể về ảnh hưởng tới VNINDEX, trọng số cụ thể sẽ theo mức độ quan trọng khi view các chỉ số này và tác động (tăng hay giảm) sẽ theo dấu của hệ số (coef ở bảng trên). Hình dạng sẽ như sau:
![[TECHNICAL INSIGHTS] - FFR VÀ ẢNH HƯỞNG ĐẾN CÁC REGIMES (PHẦN 2) 35 [TECHNICAL INSIGHTS] - FFR VÀ ẢNH HƯỞNG ĐẾN CÁC REGIMES (PHẦN 2)](https://substackcdn.com/image/fetch/$s_!D_oX!,w_1456,c_limit,f_auto,q_auto:good,fl_progressive:steep/https%3A%2F%2Fsubstack-post-media.s3.amazonaws.com%2Fpublic%2Fimages%2F4a5fdd37-b918-403d-96cc-cf5c0049ddaf_1189x1099.png)
Tuy nhiên, tham vọng hơn nữa, mình muốn tạo 1 model để predict các regimes từ các chỉ số này để có tính ổn định hơn là bằng việc quan sát thuần túy và sẽ để dành cho bài sau.
Phần này đến đây là kết thúc, hi vọng sẽ hữu ích cho các bạn đọc. Trân trọng cảm ơn!
Khóa học Phân tích kỹ thuật – CMT Level 1
Khóa học được Green Chart thiết kế dành riêng cho các bạn thí sinh muốn học và ôn thi CMT cấp độ 1 tại Việt Nam. Nội dung chương trình học bao gồm 25 buổi học lý thuyết, luyện đề và thi thử. Học viên cũng được cung cấp miễn phí giáo trình, bộ câu hỏi và đề thi thử phục vụ cho quá trình ôn thi. Học lại miễn phí trọn đời khóa học.
Tham khảo thêm chi tiết về khóa học Tại đây.




